Официальное опубликование правовых актов
ОФИЦИАЛЬНОЕ ОПУБЛИКОВАНИЕ
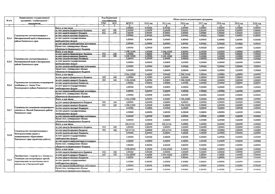
Постановление Правительства Камчатского края от 13.07.2016 № 266-П
"О внесении изменений в постановление Правительства Камчатского края от 29.11.2013 № 523-П "Об утверждении государственной программы Камчатского края "Развитие сельского хозяйства и регулирование рынков сельскохозяйственной продукции, сырья и продовольствия Камчатского края на 2014-2018 годы"
Номер опубликования: 4100201607190003
Дата опубликования: 19.07.2016
Страница №67 из 69:
Увеличить