Официальное опубликование правовых актов
ОФИЦИАЛЬНОЕ ОПУБЛИКОВАНИЕ
Постановление Правительства Камчатского края от 26.02.2016 № 54-П
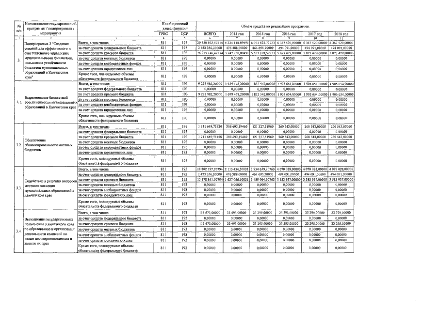
"О внесении изменений в государственную программу Камчатского края "Управление государственными финансами Камчатского края на 2014-2018 годы", утверждённую постановлением Правительства Камчатского края от 22.11.2013 № 511-П"
Номер опубликования: 4100201603020006
Дата опубликования: 02.03.2016
Страница №9 из 16:
Увеличить