Официальное опубликование правовых актов
ОФИЦИАЛЬНОЕ ОПУБЛИКОВАНИЕ
Постановление Правительства Камчатского края от 26.02.2016 № 56-П
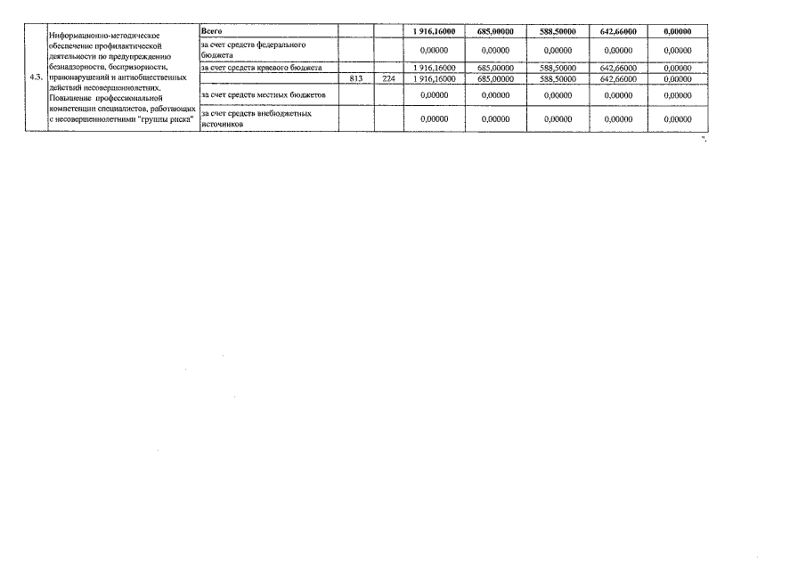
"О внесении изменений в государственную программу Камчатского края "Семья и дети Камчатки на 2015-2018 годы", утверждённую постановлением Правительства Камчатского края от 18.12.2014 № 533-П"
Номер опубликования: 4100201603020005
Дата опубликования: 02.03.2016
Страница №21 из 21:
Увеличить