Официальное опубликование правовых актов
ОФИЦИАЛЬНОЕ ОПУБЛИКОВАНИЕ
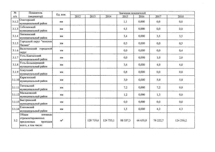
Постановление Правительства Камчатского края от 18.02.2016 № 45-П
"О внесении изменений в постановление Правительства Камчатского края от 29.11.2013 № 525-П "Об утверждении государственной программы Камчатского края "Энергоэффективность, развитие энергетики и коммунального хозяйства, обеспечение жителей населённых пунктов Камчатского края коммунальными услугами и услугами по благоустройству территорий за 2014-2018 годы"
Номер опубликования: 4100201602250001
Дата опубликования: 25.02.2016
Страница №19 из 44:
Увеличить