Официальное опубликование правовых актов
ОФИЦИАЛЬНОЕ ОПУБЛИКОВАНИЕ
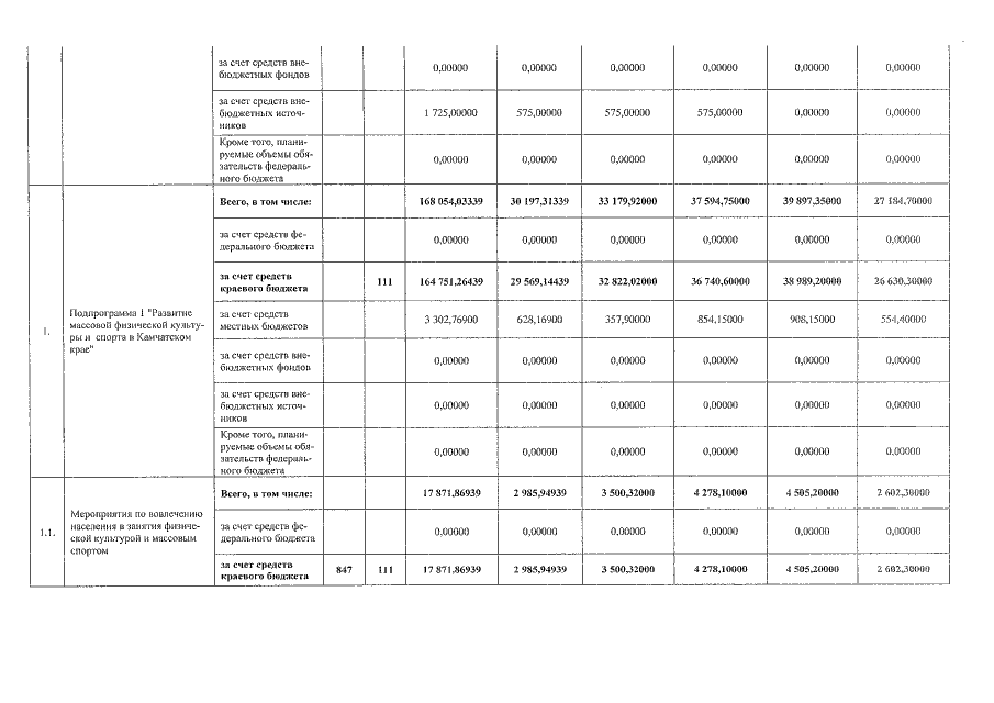
Постановление Правительства Камчатского края от 08.02.2016 № 29-П
"О внесении изменений в Государственную программу Камчатского края "Физическая культура, спорт, молодёжная политика, отдых и оздоровление детей в Камчатском крае на 2014-2018 годы", утверждённую постановлением Правительства Камчатского края от 29.11.2013 № 552-П"
Номер опубликования: 4100201602110001
Дата опубликования: 11.02.2016
Страница №32 из 48:
Увеличить