Официальное опубликование правовых актов
ОФИЦИАЛЬНОЕ ОПУБЛИКОВАНИЕ
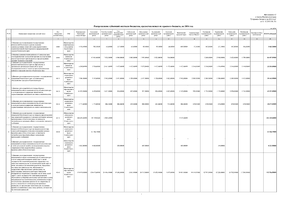
Закон Камчатского края от 01.12.2015 № 710
"О краевом бюджете на 2016 год"
Номер опубликования: 4100201512030001
Дата опубликования: 03.12.2015
Страница №194 из 212:
Увеличить