Официальное опубликование правовых актов
ОФИЦИАЛЬНОЕ ОПУБЛИКОВАНИЕ
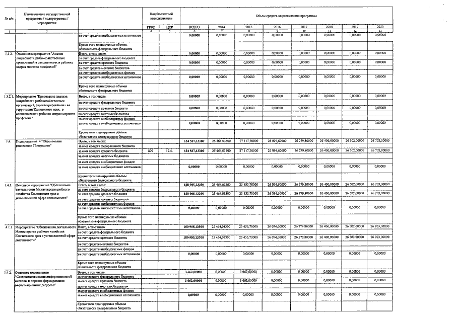
Постановление Правительства Камчатского края от 21.09.2015 № 327-П
"О внесении изменений в государственную программу Камчатского края "Развитие рыбохозяйственного комплекса Камчатского края на 2014-2020 годы", утверждённую постановлением Правительства Камчатского края от 29.11.2013 № 533-П"
Номер опубликования: 4100201509250010
Дата опубликования: 25.09.2015
Страница №6 из 7:
Увеличить