Официальное опубликование правовых актов
ОФИЦИАЛЬНОЕ ОПУБЛИКОВАНИЕ
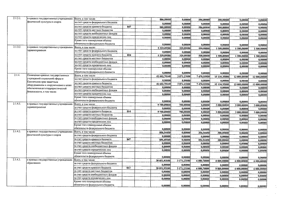
Постановление Правительства Камчатского края от 29.07.2015 № 272-П
"О внесении изменений в государственную программу Камчатского края "Профилактика правонарушений, терроризма, наркомании и алкоголизма в Камчатском крае на 2014-2018 годы", утверждённую постановлением Правительства Камчатского края от 29.11.2013 №522-П"
Номер опубликования: 4100201508060001
Дата опубликования: 06.08.2015
Страница №16 из 28:
Увеличить