Официальное опубликование правовых актов
ОФИЦИАЛЬНОЕ ОПУБЛИКОВАНИЕ
Постановление Губернатора Камчатского края от 24.07.2015 № 69
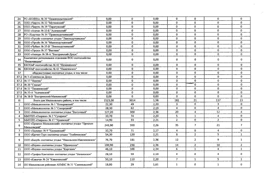
"Об утверждении лимитов добычи охотничьих ресурсов и квот добычи охотничьих ресурсов, за исключением таких лимитов и квот в отношении охотничьих ресурсов, находящихся на особо охраняемых природных территориях федерального значения, для Камчатского края на период с 1 августа 2015 года до 1 августа 2016 года"
Номер опубликования: 4100201507280001
Дата опубликования: 28.07.2015
Страница №6 из 67:
Увеличить