Официальное опубликование правовых актов
ОФИЦИАЛЬНОЕ ОПУБЛИКОВАНИЕ
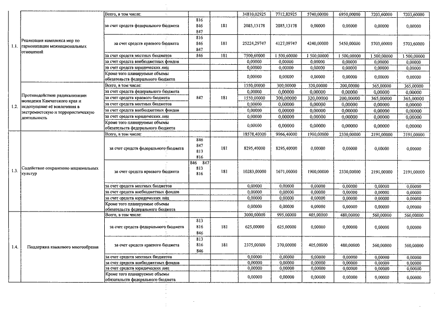
Постановление Правительства Камчатского края от 17.06.2015 № 223-П
"О внесении изменений в постановление Правительства Камчатского края от 29.11.2013 № 546-П "О государственной программе Камчатского края "Реализация государственной национальной политики и укрепление гражданского единства в Камчатском крае на 2014-2018 годы"
Номер опубликования: 4100201506220007
Дата опубликования: 22.06.2015
Страница №25 из 33:
Увеличить