Постановление Правительства Камчатского края от 05.06.2015 № 200-П
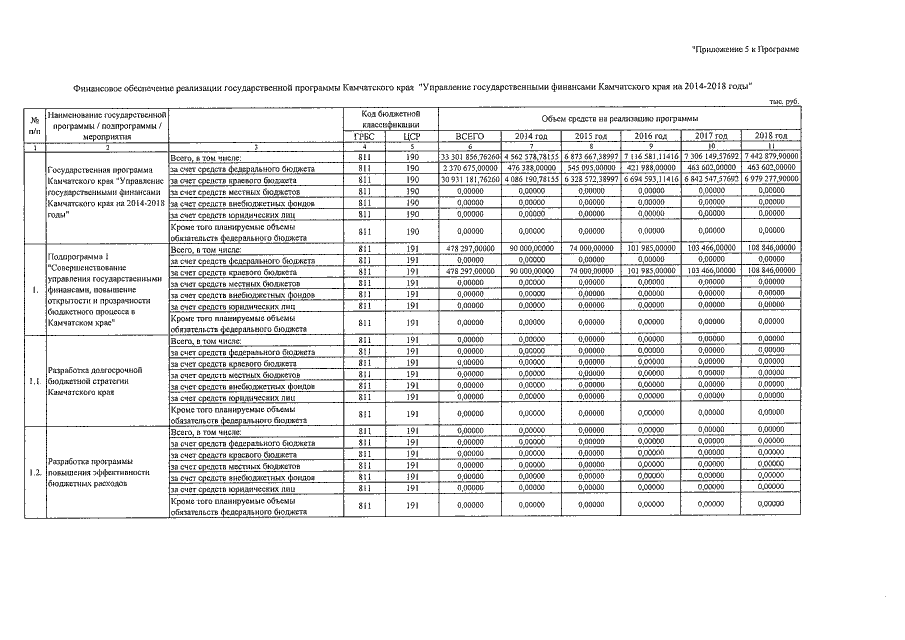
"О внесении изменений в государственную программу Камчатского края "Управление государственными финансами Камчатского края на 2014-2018 годы", утверждённую постановлением Правительства Камчатского края от 22.11.2013 № 511-П"
"О внесении изменений в государственную программу Камчатского края "Управление государственными финансами Камчатского края на 2014-2018 годы", утверждённую постановлением Правительства Камчатского края от 22.11.2013 № 511-П"
Номер опубликования: 4100201506100008
Дата опубликования:
10.06.2015
