Официальное опубликование правовых актов
ОФИЦИАЛЬНОЕ ОПУБЛИКОВАНИЕ
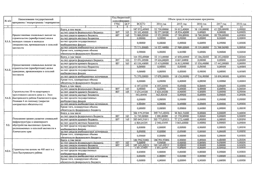
Постановление Правительства Камчатского края от 02.06.2015 № 193-П
"О внесении изменений в государственную программу Камчатского края "Развитие сельского хозяйства и регулирование рынков сельскохозяйственной продукции, сырья и продовольствия Камчатского края на 2014-2018 годы", утверждённую постановлением Правительства Камчатского края от 29.11.2013 № 523-П"
Номер опубликования: 4100201506030005
Дата опубликования: 03.06.2015
Страница №34 из 41:
Увеличить