Официальное опубликование правовых актов
ОФИЦИАЛЬНОЕ ОПУБЛИКОВАНИЕ
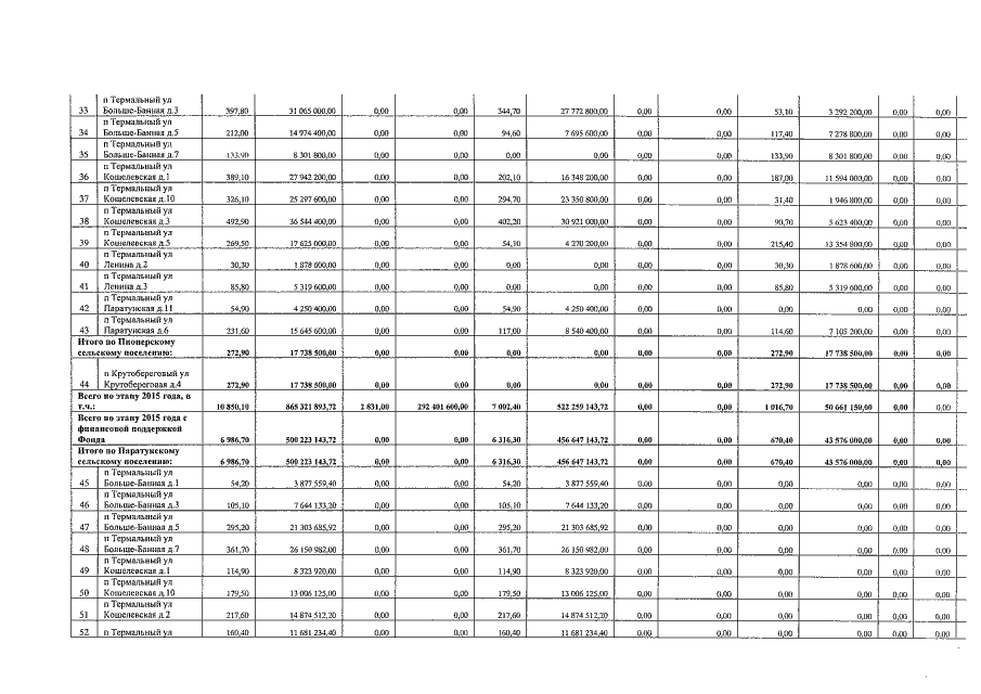
Постановление Правительства Камчатского края от 12.01.2015 № 3-П
"О внесении изменений в государственную программу Камчатского края "Обеспечение доступным и комфортным жильём жителей Камчатского края на 2014-2018 годы", утверждённую постановлением Правительства Камчатского края от 22.11.2013 № 520-П"
Номер опубликования: 4100201501140001
Дата опубликования: 14.01.2015
Страница №31 из 68:
Увеличить