Официальное опубликование правовых актов
ОФИЦИАЛЬНОЕ ОПУБЛИКОВАНИЕ
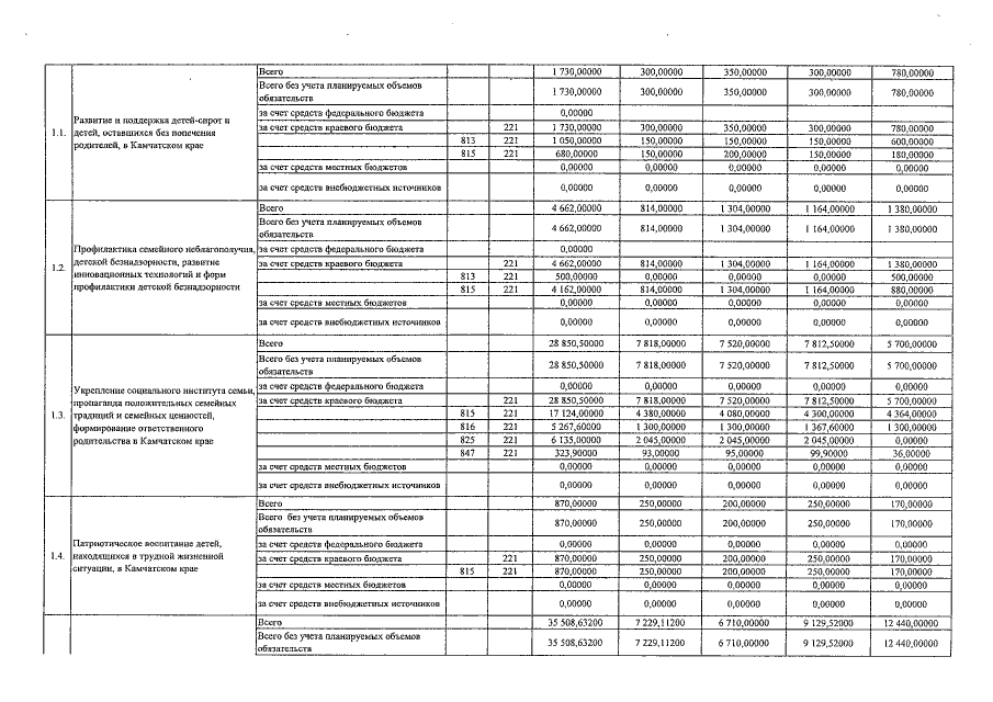
Постановление Правительства Камчатского края от 18.12.2014 № 533-П
"О государственной программе Камчатского края "Семья и дети Камчатки на 2015-2018 годы"
Номер опубликования: 4100201412250001
Дата опубликования: 25.12.2014
Страница №82 из 88:
Увеличить