Официальное опубликование правовых актов
ОФИЦИАЛЬНОЕ ОПУБЛИКОВАНИЕ
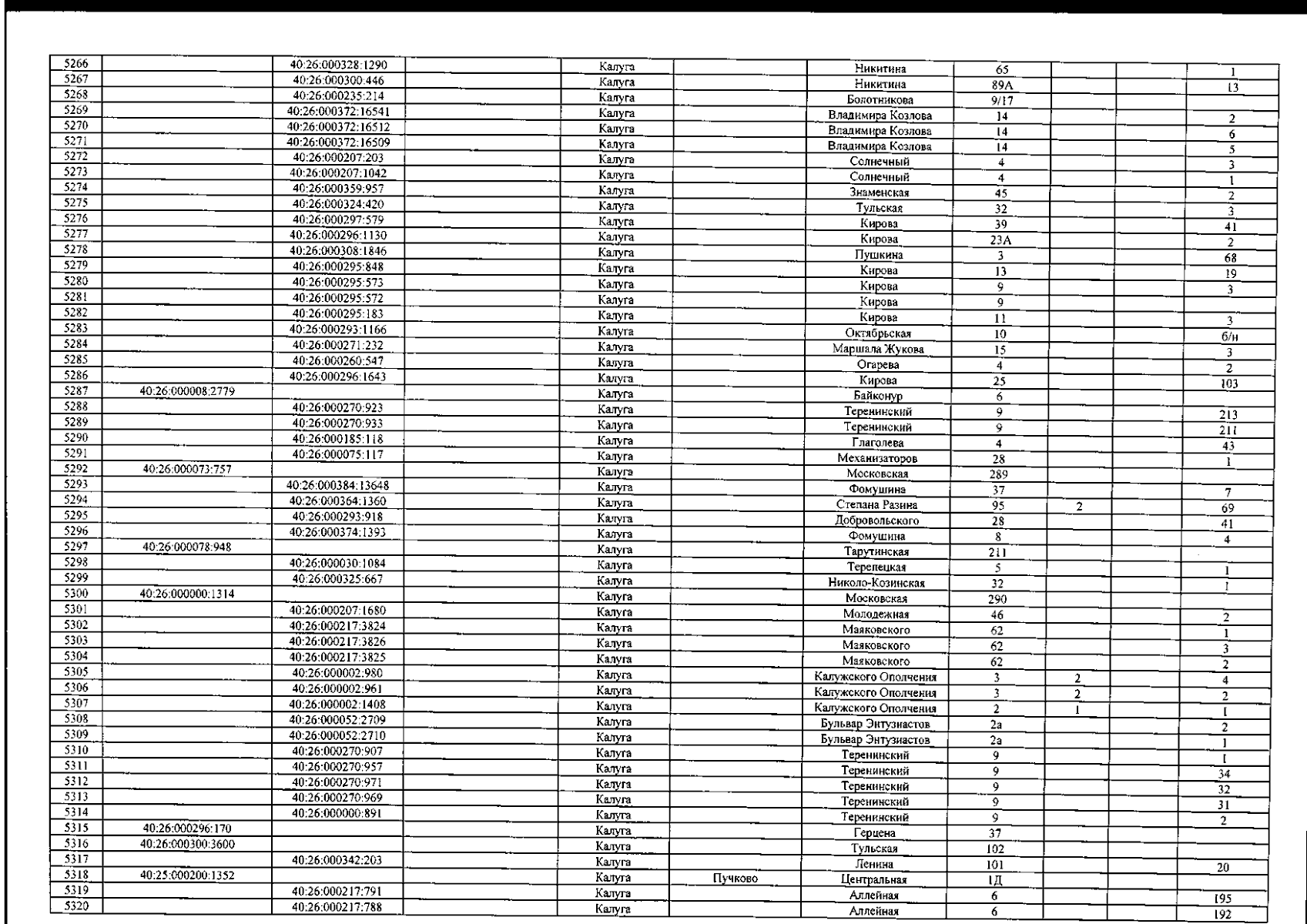
Приказ Министерства экономического развития и промышленности Калужской области от 22.12.2025 № 2332-п
"Об определении перечня объектов недвижимого имущества, налоговая база в отношении которых определяется как кадастровая стоимость, на 2026 год"
(Зарегистрирован 26.12.2025 № 16238)
Номер опубликования: 4002202512290002
Дата опубликования: 29.12.2025
Страница №99 из 121:
Увеличить