Официальное опубликование правовых актов
ОФИЦИАЛЬНОЕ ОПУБЛИКОВАНИЕ
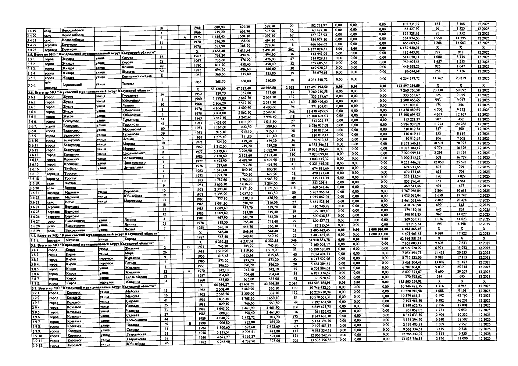
Приказ Министерства строительства и жилищно-коммунального хозяйства Калужской области от 23.12.2025 № 777
"О внесении изменений в приказ министерства строительства и жилищно-коммунального хозяйства Калужской области от 20.05.2022 № 246 "Об утверждении краткосрочного плана реализации региональной программы капитального ремонта общего имущества в многоквартирных домах Калужской области на 2023 - 2025 годы" (в редакции приказов министерства строительства и жилищно-коммунального хозяйства Калужской области от 06.04.2023 № 198, от 08.12.2023 № 63, от 23.05.2024 № 255, от 13.06.2024 № 287, от 08.07.2024 № 318, от 12.12.2024 № 627, от 06.06.2025 № 332)"
(Зарегистрирован 30.12.2025 № 16289)
Номер опубликования: 4001202512310001
Дата опубликования: 31.12.2025
Страница №4 из 16:
Увеличить