Официальное опубликование правовых актов
ОФИЦИАЛЬНОЕ ОПУБЛИКОВАНИЕ
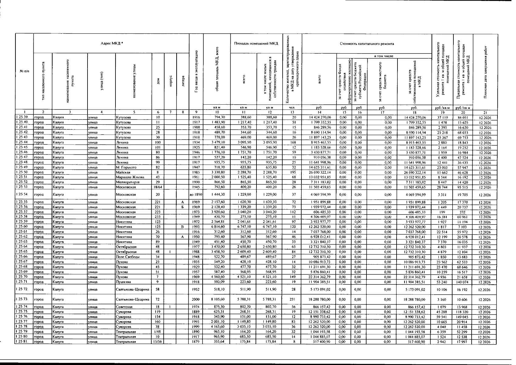
Приказ Министерства строительства и жилищно-коммунального хозяйства Калужской области от 02.04.2025 № 214
"Об утверждении краткосрочного плана реализации региональной программы капитального ремонта общего имущества в многоквартирных домах Калужской области на 2026-2028 годы"
(Зарегистрирован 05.05.2025 № 15487)
Номер опубликования: 4001202505140018
Дата опубликования: 14.05.2025
Страница №11 из 29:
Увеличить