Официальное опубликование правовых актов
ОФИЦИАЛЬНОЕ ОПУБЛИКОВАНИЕ
Приказ Управления по охране объектов культурного наследия Калужской области от 24.02.2025 № 23
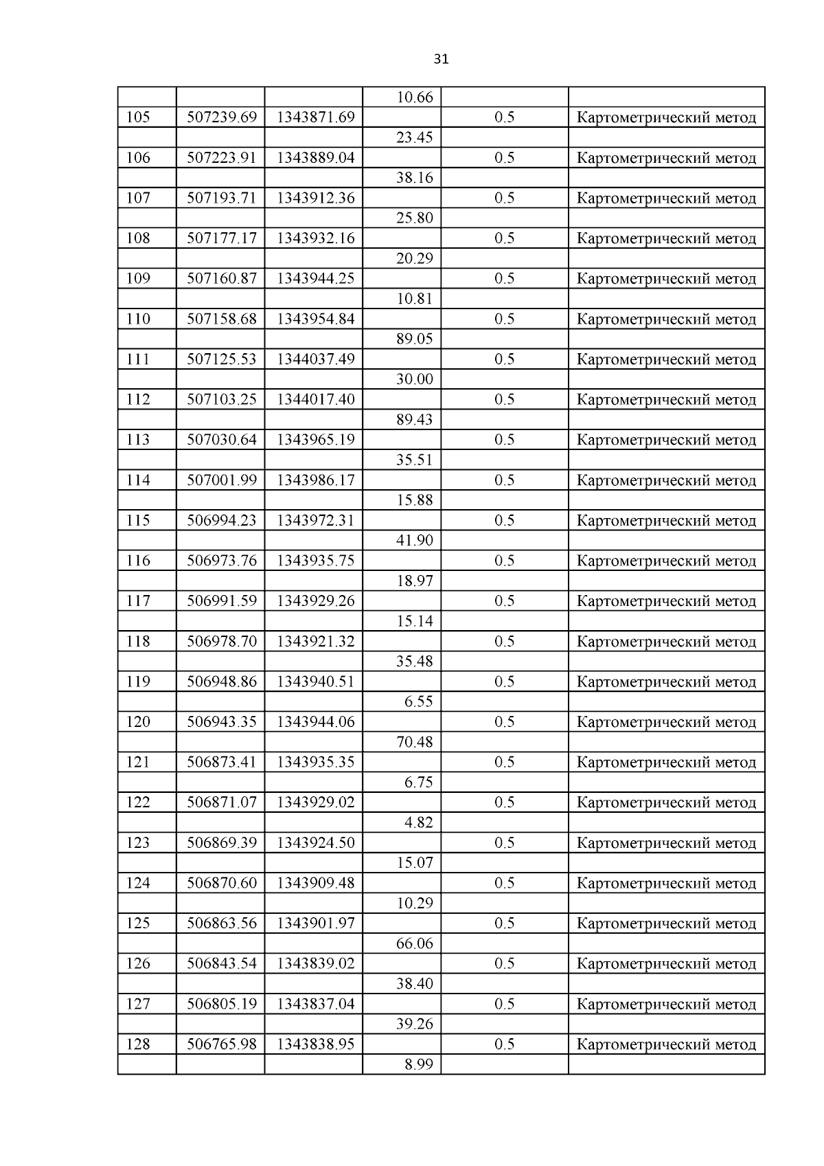
"О внесении изменений в приказ управления по охране объектов культурного наследия Калужской области от 01.08.2022 № 110 "Об установлении зон охраны объекта культурного наследия регионального значения "Ансамбль усадьбы Глебовых", сер., кон. XVIII в., 1878 г., расположенного по адресу: Калужская область, Жуковский район, с. Никольское, д. 9, стр. 1, участок 9, д. 12, и утверждении требований к градостроительным регламентам в границах территорий данных зон"
(Зарегистрирован 24.03.2025 № 15378)
Номер опубликования: 4001202503260011
Дата опубликования: 26.03.2025
Страница №31 из 37:
Увеличить