Официальное опубликование правовых актов
ОФИЦИАЛЬНОЕ ОПУБЛИКОВАНИЕ
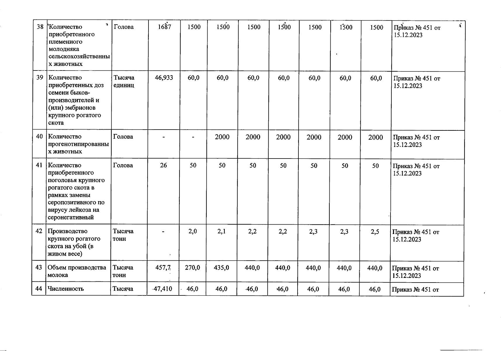
Приказ Министерства сельского хозяйства Калужской области от 30.01.2025 № 24
"О внесении изменений в приказ министерства сельского хозяйства Калужской области от 16.02.2024 № 29 "Об утверждении направления "Национальная экономика" государственной программы Калужской области "Развитие сельского хозяйства и регулирование рынков сельскохозяйственной продукции, сырья и продовольствия в Калужской области" (в ред. приказов министерства сельского хозяйства Калужской области от 12.04.2024 № 94, от 20.05.2024 № 136, от 10.06.2024 № 160, от 05.08.2024 № 225, от 25.10.2024 № 312, от 20.12.2024 № 393)"
(Зарегистрирован 17.02.2025 № 15220)
Номер опубликования: 4001202502200002
Дата опубликования: 20.02.2025
Страница №43 из 93:
Увеличить