Официальное опубликование правовых актов
ОФИЦИАЛЬНОЕ ОПУБЛИКОВАНИЕ
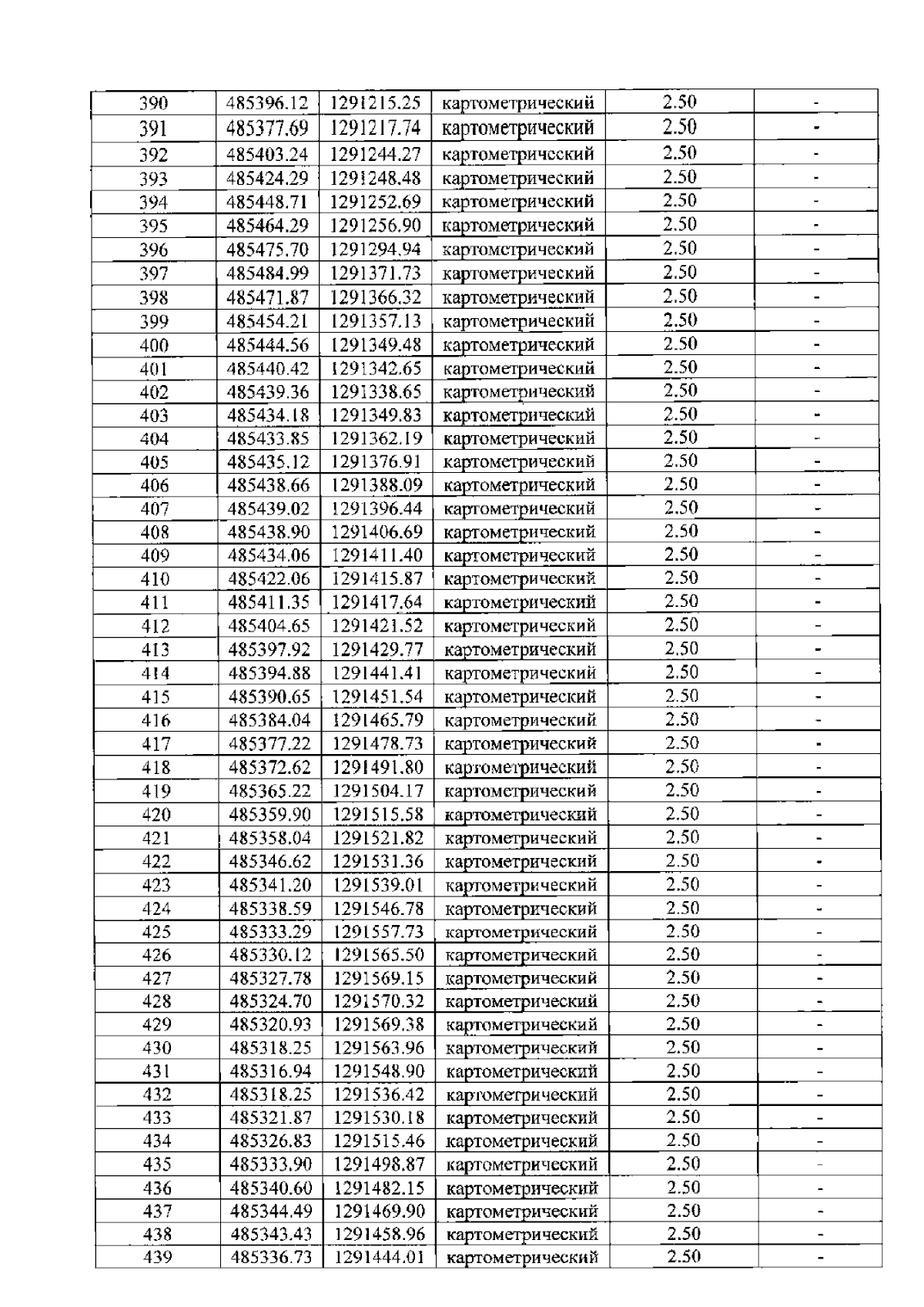
Приказ Министерства природных ресурсов и экологии Калужской области от 17.12.2024 № 1285-24
"Об объявлении залесенных участков в пойме реки Лужи особо охраняемой природной территорией регионального значения – памятником природы"
(Зарегистрирован 15.01.2025 № 15135)
Номер опубликования: 4001202501210006
Дата опубликования: 21.01.2025
Страница №11 из 34:
Увеличить