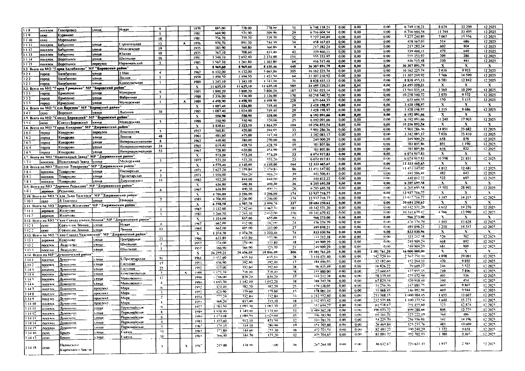
Приказ Министерства строительства и жилищно-коммунального хозяйства Калужской области от 12.12.2024 № 627
"О внесении изменений в приказ министерства строительства и жилищно-коммунального хозяйства Калужской области от 20.05.2022 № 246 "Об утверждении краткосрочного плана реализации региональной программы капитального ремонта общего имущества в многоквартирных домах Калужской области на 2023 - 2025 годы" (в редакции приказов министерства строительства и жилищно-коммунального хозяйства Калужской области от 06.04.2023 № 198, от 08.12.2023 № 638, от 23.05.2024 № 255, от 13.06.2024 № 287, от 08.07.2024 № 318)"
(Зарегистрирован 24.12.2024 № 14978)
"О внесении изменений в приказ министерства строительства и жилищно-коммунального хозяйства Калужской области от 20.05.2022 № 246 "Об утверждении краткосрочного плана реализации региональной программы капитального ремонта общего имущества в многоквартирных домах Калужской области на 2023 - 2025 годы" (в редакции приказов министерства строительства и жилищно-коммунального хозяйства Калужской области от 06.04.2023 № 198, от 08.12.2023 № 638, от 23.05.2024 № 255, от 13.06.2024 № 287, от 08.07.2024 № 318)"
(Зарегистрирован 24.12.2024 № 14978)
Номер опубликования: 4001202412260001
Дата опубликования:
26.12.2024
