Официальное опубликование правовых актов
ОФИЦИАЛЬНОЕ ОПУБЛИКОВАНИЕ
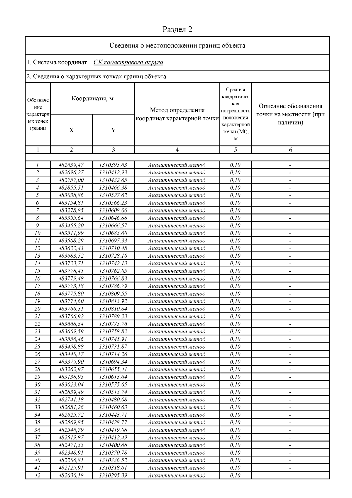
Приказ Министерства транспорта Калужской области от 19.11.2024 № 300
"Об установлении придорожных полос на участках автомобильной дороги общего пользования регионального значения Калужской области Окружная дорога г. Калуги - Детчино - Малоярославец"
(Зарегистрирован 03.12.2024 № 14785)
Номер опубликования: 4001202412060001
Дата опубликования: 06.12.2024
Страница №5 из 36:
Увеличить