Официальное опубликование правовых актов
ОФИЦИАЛЬНОЕ ОПУБЛИКОВАНИЕ
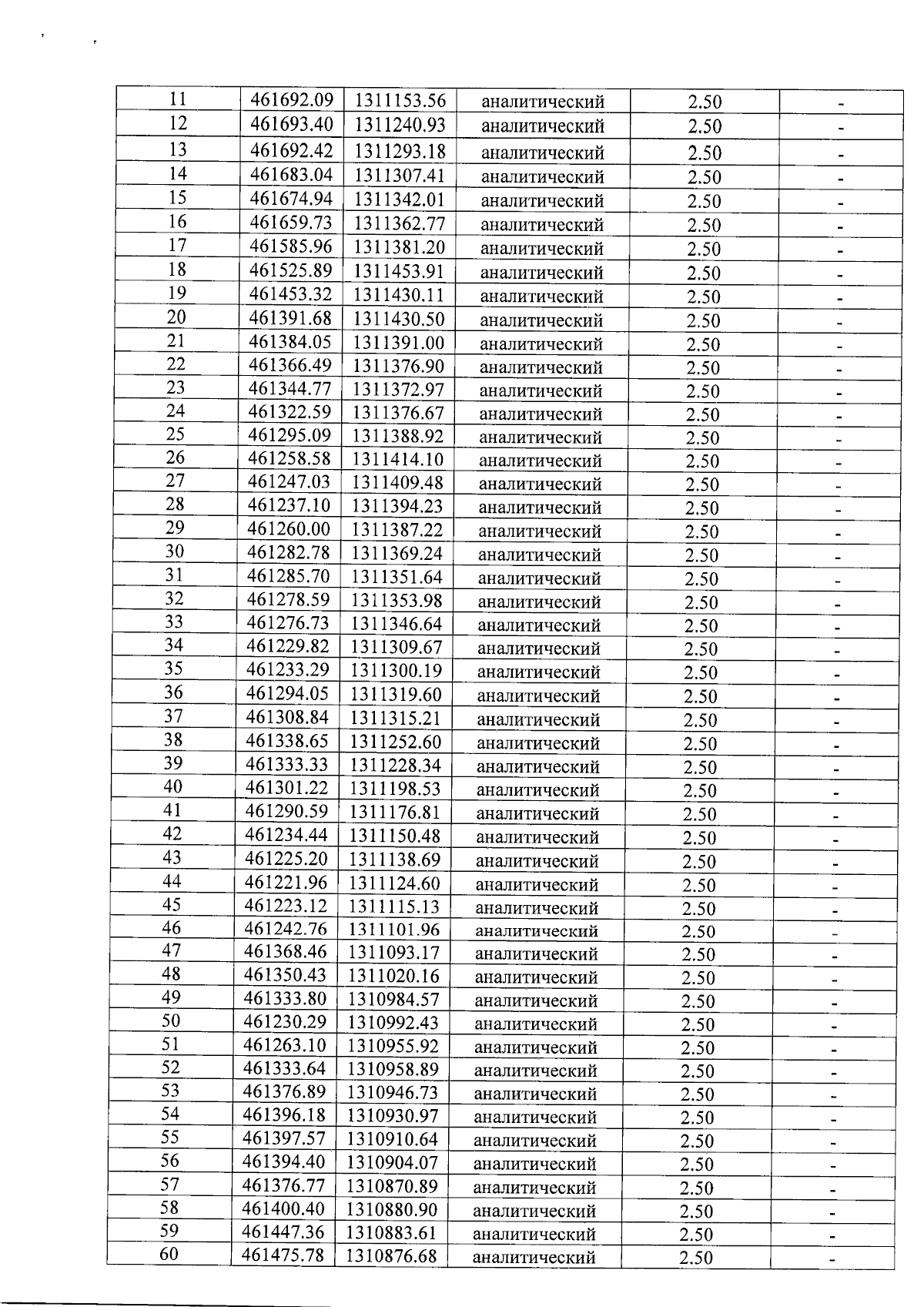
Приказ Министерства природных ресурсов и экологии Калужской области от 11.09.2024 № 891-24
"О реорганизации особо охраняемой природной территории регионального значения – памятника природы "Парк усадьбы с. Дольское"
(Зарегистрирован 03.10.2024 № 14622)
Номер опубликования: 4001202410100002
Дата опубликования: 10.10.2024
Страница №4 из 8:
Увеличить