Официальное опубликование правовых актов
ОФИЦИАЛЬНОЕ ОПУБЛИКОВАНИЕ
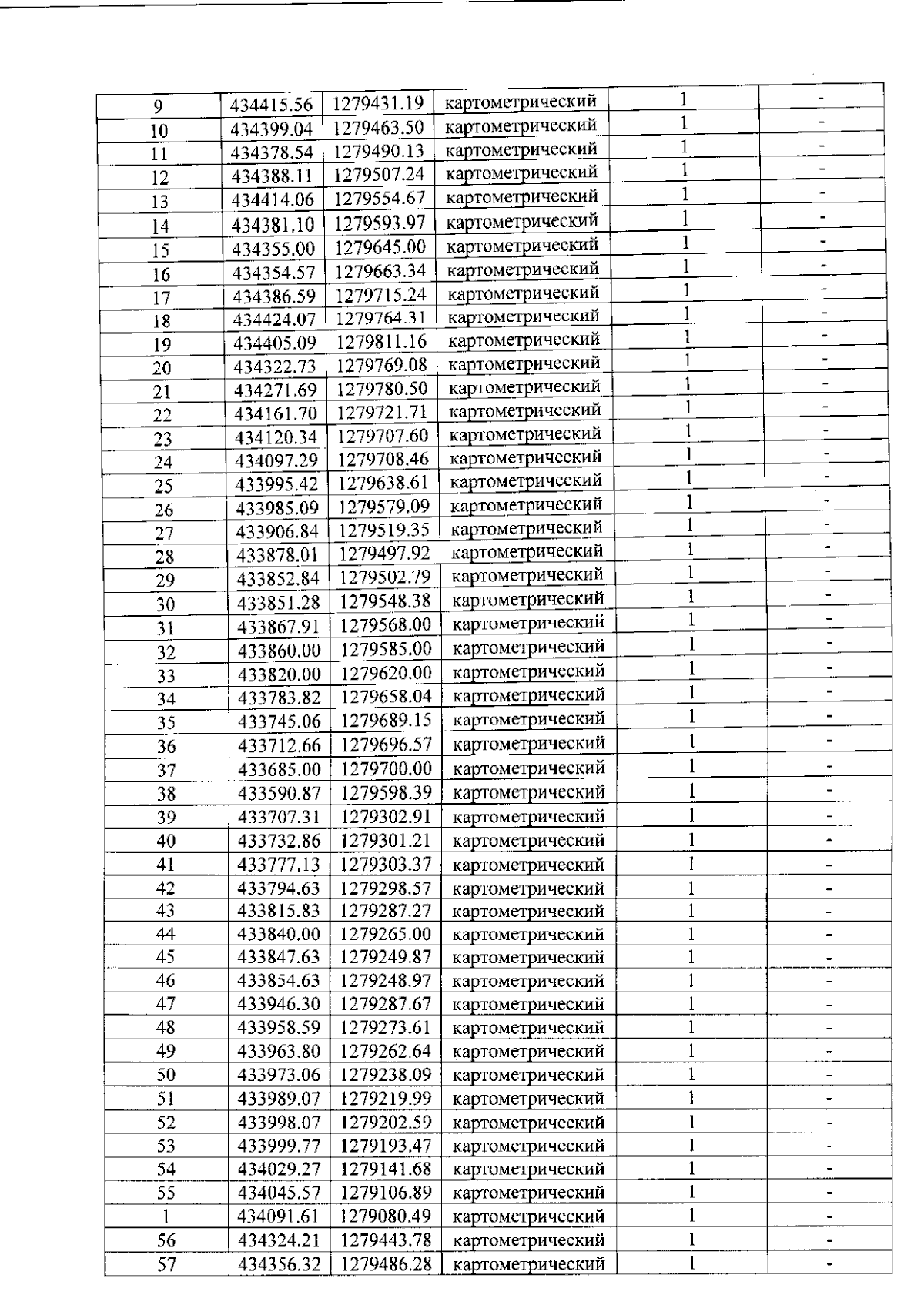
Приказ Министерства природных ресурсов и экологии Калужской области от 30.11.2023 № 990-23
"О реорганизации особо охраняемой природной территории регионального значения – памятника природы "Парк д. Железцево Дзержинского района"
(Зарегистрирован 20.12.2023 № 13712)
Номер опубликования: 4001202312250003
Дата опубликования: 25.12.2023
Страница №4 из 8:
Увеличить