Официальное опубликование правовых актов
ОФИЦИАЛЬНОЕ ОПУБЛИКОВАНИЕ
Приказ Управления по охране объектов культурного наследия Калужской области от 14.10.2022 № 137
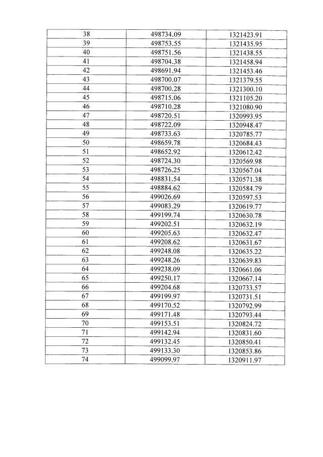
"О внесении изменений в приказ управления по охране объектов культурного наследия Калужской области от 14 июня 2022 года № 61 "О внесении изменений в приказ управления по охране объектов культурного наследия Калужской области от 15 сентября 2017 года № 84 "Об утверждении границ и режима использования территории объекта культурного наследия регионального значения "Усадьба Белкино", 1815 г., расположенного по адресу: Калужская область, Боровский район, дер. Белкино, ул. Борисоглебская, д. 86, 86А, 86Б, 86В, 86Г"
(Зарегистрирован 08.11.2022 № 12394)
Номер опубликования: 4001202211110001
Дата опубликования: 11.11.2022
Страница №5 из 6:
Увеличить