Официальное опубликование правовых актов
ОФИЦИАЛЬНОЕ ОПУБЛИКОВАНИЕ
Приказ Министерства строительства и жилищно-коммунального хозяйства Калужской области от 30.09.2022 № 475
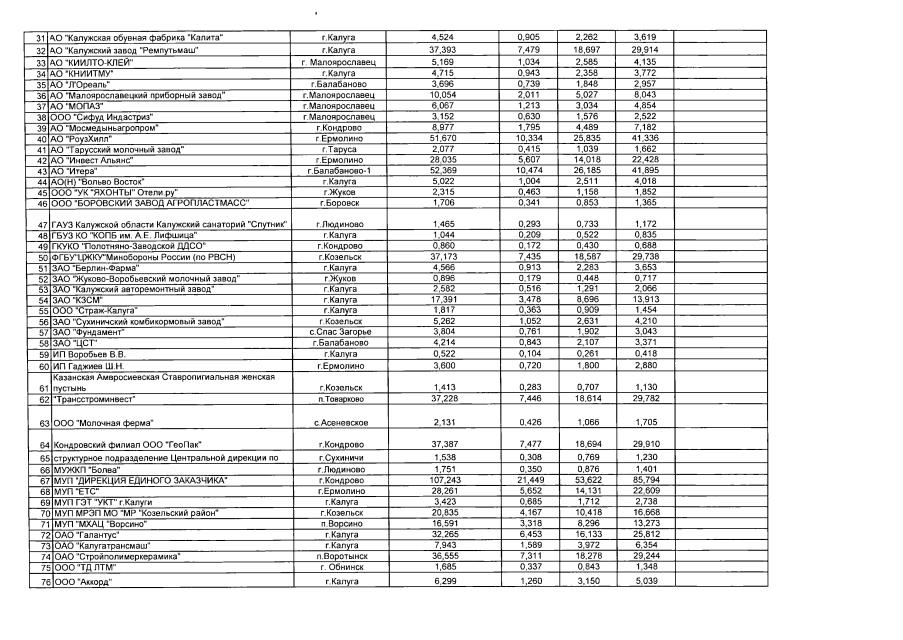
"Об утверждении графика перевода потребителей Калужской области на резервные виды топлива при похолоданиях на IV квартал 2022 года и графика аварийного газоснабжения на IV квартал 2022 года"
(Зарегистрирован 05.10.2022 № 12313)
Номер опубликования: 4001202210070005
Дата опубликования: 07.10.2022
Страница №9 из 12:
Увеличить