Официальное опубликование правовых актов
ОФИЦИАЛЬНОЕ ОПУБЛИКОВАНИЕ
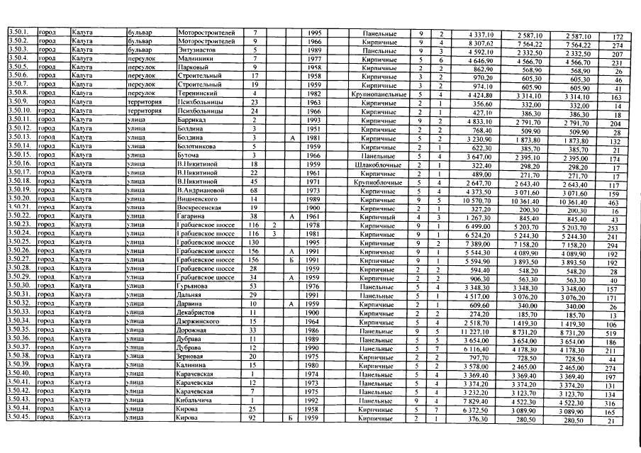
Приказ Министерства строительства и жилищно-коммунального хозяйства Калужской области от 07.07.2022 № 323
"О внесении изменений в приказ министерства строительства и жилищно-коммунального хозяйства Калужской области от 05.04.2019 № 101 "Об утверждении краткосрочного плана реализации региональной программы капитального ремонта общего имущества в многоквартирных домах Калужской области на 2020-2022 годы" (в редакции приказов министерства строительства и жилищно-коммунального хозяйства Калужской области от 09.10.2019 № 405, от 31.03.2020 № 141, от 11.06.2020 № 235, от 24.09.2020 № 429, от 10.12.2020 № 571, от 26.03.2021 № 113, от 27.10.2021 № 464, от 16.12.2021 № 553, от 24.02.2022 № 92)"
(Зарегистрирован 03.08.2022 № 12177)
Номер опубликования: 4001202208090003
Дата опубликования: 09.08.2022
Страница №7 из 26:
Увеличить