Официальное опубликование правовых актов
ОФИЦИАЛЬНОЕ ОПУБЛИКОВАНИЕ
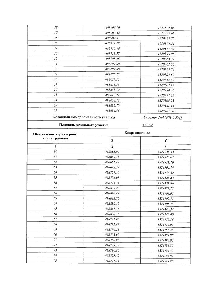
Приказ Управления по охране объектов культурного наследия Калужской области от 12.07.2022 № 100
"Об установлении зоны охраны объекта культурного наследия регионального значения "Усадьба Белкино", 1815 г. (Калужская область, городской округ "Город Обнинск", г. Обнинск, ул. Борисоглебская, д. 70, 60А, 60Б, 60В, 60Г) и утверждении требований к градостроительным регламентам в границах территории данной зоны"
(Зарегистрирован 28.07.2022 № 12160)
Номер опубликования: 4001202208020007
Дата опубликования: 02.08.2022
Страница №9 из 16:
Увеличить