Официальное опубликование правовых актов
ОФИЦИАЛЬНОЕ ОПУБЛИКОВАНИЕ
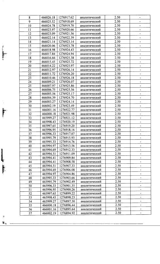
Приказ Министерства природных ресурсов и экологии Калужской области от 02.02.2022 № 66-22
"Об особо охраняемой природной территории регионального значения – памятнике природы "Ключ-источник у автодороги Кондрово-Никольское в 1,5 км от границы Кондрово"
(Зарегистрирован 14.02.2022 № 11559)
Номер опубликования: 4001202202180010
Дата опубликования: 18.02.2022
Страница №3 из 7:
Увеличить