Официальное опубликование правовых актов
ОФИЦИАЛЬНОЕ ОПУБЛИКОВАНИЕ
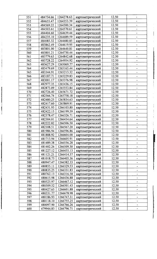
Приказ Министерства природных ресурсов и экологии Калужской области от 07.12.2021 № 1188-21
"Об особо охраняемой природной территории регионального значения – памятнике природы "Р. Шаня с охранным ландшафтом на расстоянии 400 м в обе стороны от уреза воды"
(Зарегистрирован 23.12.2021 № 11454)
Номер опубликования: 4001202112270002
Дата опубликования: 27.12.2021
Страница №14 из 35:
Увеличить