Официальное опубликование правовых актов
ОФИЦИАЛЬНОЕ ОПУБЛИКОВАНИЕ
Приказ Управления по охране объектов культурного наследия Калужской области от 29.11.2021 № 216
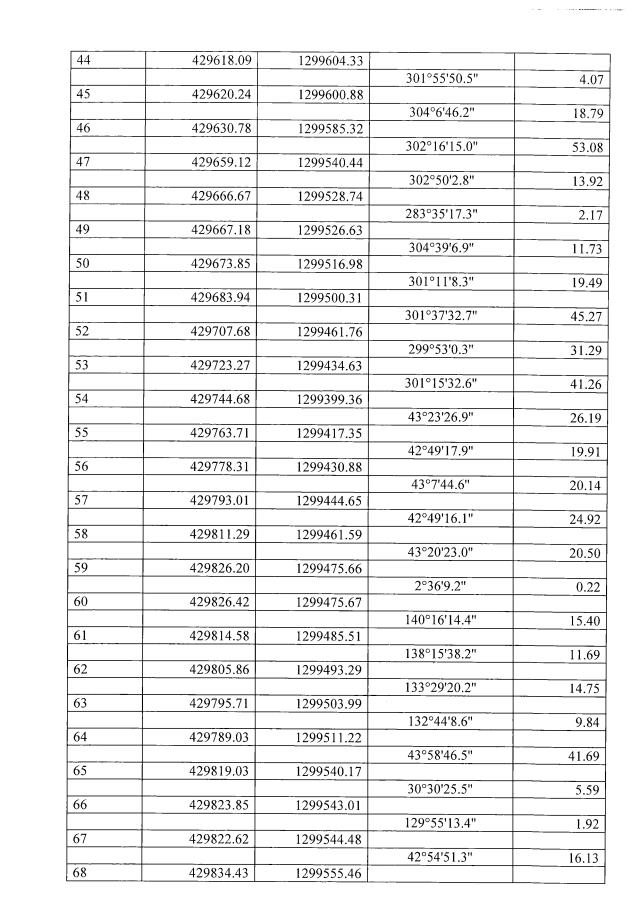
"О внесении изменения в приказ управления по охране объектов культурного наследия Калужской области от 13 сентября 2019 года № 258 "Об утверждении границ и режима использования территории объекта культурного наследия федерального значения "Ансамбль Присутственных мест с парком и собором Троицы", 1796–1819 гг., расположенный по адресу: Калужская область, г. Калуга, ул. Баженова, д. 2; пл. Старый торг, д. 4; пл. Старый торг, д. 5; ул. Карла Маркса, район д. 4; пл. Старый торг, Центральный Городской парк культуры и отдыха"
(Зарегистрирован 14.12.2021 № 11297)
Номер опубликования: 4001202112200015
Дата опубликования: 20.12.2021
Страница №6 из 12:
Увеличить