Официальное опубликование правовых актов
ОФИЦИАЛЬНОЕ ОПУБЛИКОВАНИЕ
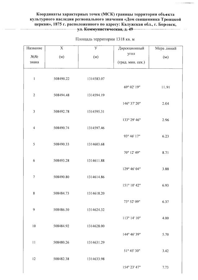
Приказ Управления по охране объектов культурного наследия Калужской области от 29.11.2021 № 215
"Об утверждении границ и режима использования территории объекта культурного наследия регионального значения "Дом священника Троицкой церкви", 1875 г. расположенного по адресу: Калужская обл., г. Боровск, ул. Коммунистическая, д. 49"
(Зарегистрирован 14.12.2021 № 11296)
Номер опубликования: 4001202112200006
Дата опубликования: 20.12.2021
Страница №3 из 6:
Увеличить