Официальное опубликование правовых актов
ОФИЦИАЛЬНОЕ ОПУБЛИКОВАНИЕ
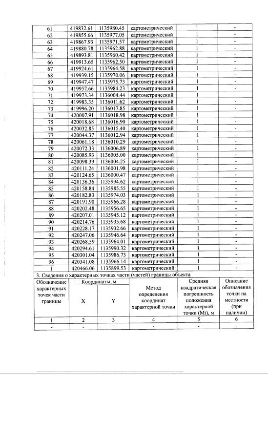
Приказ Министерства природных ресурсов и экологии Калужской области от 15.10.2021 № 977-21
"Об особо охраняемой природной территории регионального значения – памятнике природы "Болото "Цветковский мох"
(Зарегистрирован 26.10.2021 № 10969)
Номер опубликования: 4001202110280004
Дата опубликования: 28.10.2021
Страница №4 из 8:
Увеличить