Официальное опубликование правовых актов
ОФИЦИАЛЬНОЕ ОПУБЛИКОВАНИЕ
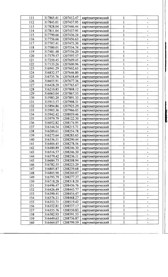
Приказ Министерства природных ресурсов и экологии Калужской области от 24.09.2021 № 913-21
"О реорганизации особо охраняемой природной территории регионального значения – памятника природы "Слободское водохранилище"
(Зарегистрирован 26.10.2021 № 10968)
Номер опубликования: 4001202110280003
Дата опубликования: 28.10.2021
Страница №6 из 11:
Увеличить