Официальное опубликование правовых актов
ОФИЦИАЛЬНОЕ ОПУБЛИКОВАНИЕ
Приказ Министерства природных ресурсов и экологии Калужской области от 16.07.2021 № 687-21
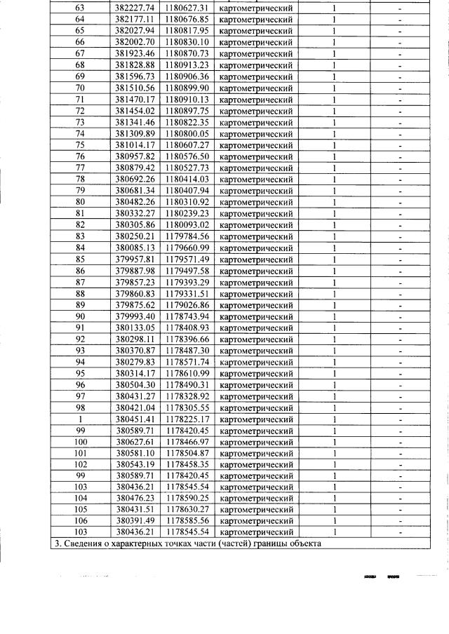
"Об особо охраняемой природной территории регионального значения – памятнике природы "Верховое болото Бережковское"
(Зарегистрирован 02.08.2021 № 10818)
Номер опубликования: 4001202108050001
Дата опубликования: 05.08.2021
Страница №4 из 8:
Увеличить