Официальное опубликование правовых актов
ОФИЦИАЛЬНОЕ ОПУБЛИКОВАНИЕ
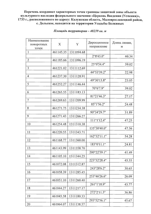
Приказ Управления по охране объектов культурного наследия Калужской области от 13.07.2021 № 124
"Об утверждении графического описания местоположения границы и режима использования земель в границе защитной зоны объекта культурного наследия федерального значения "Церковь Введения (Успения)", 1733 г., расположенного по адресу: Калужская область, Малоярославецкий район, с. Дольское, находится на территории Усадьбы Белкиных"
(Зарегистрирован 21.07.2021 № 10790)
Номер опубликования: 4001202107280014
Дата опубликования: 28.07.2021
Страница №3 из 5:
Увеличить