Приказ Управления по охране объектов культурного наследия Калужской области от 08.07.2021 № 118
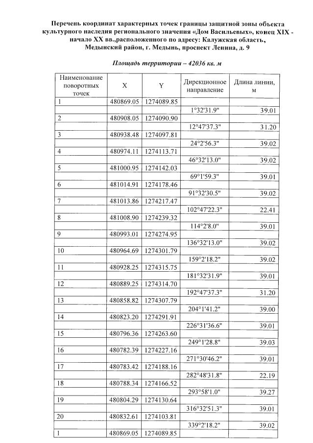
"Об утверждении графического описания местоположения границы и режима использования земель в границе защитной зоны объекта культурного наследия регионального значения "Дом Васильевых", конец XIX - начало XX вв., расположенного по адресу: Калужская область, Медынский район, г. Медынь, проспект Ленина, д. 9"
(Зарегистрирован 21.07.2021 № 10785)
"Об утверждении графического описания местоположения границы и режима использования земель в границе защитной зоны объекта культурного наследия регионального значения "Дом Васильевых", конец XIX - начало XX вв., расположенного по адресу: Калужская область, Медынский район, г. Медынь, проспект Ленина, д. 9"
(Зарегистрирован 21.07.2021 № 10785)
Номер опубликования: 4001202107280008
Дата опубликования:
28.07.2021
