Приказ Управления по охране объектов культурного наследия Калужской области от 08.07.2021 № 120
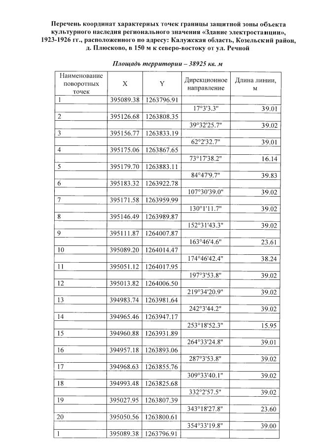
"Об утверждении графического описания местоположения границы и режима использования земель в границе защитной зоны объекта культурного наследия регионального значения "Здание электростанции", 1923-1926 гг., расположенного по адресу: Калужская область, Козельский район, д. Плюсково, в 150 м к северо-востоку от ул. Речной"
(Зарегистрирован 21.07.2021 № 10787)
"Об утверждении графического описания местоположения границы и режима использования земель в границе защитной зоны объекта культурного наследия регионального значения "Здание электростанции", 1923-1926 гг., расположенного по адресу: Калужская область, Козельский район, д. Плюсково, в 150 м к северо-востоку от ул. Речной"
(Зарегистрирован 21.07.2021 № 10787)
Номер опубликования: 4001202107280007
Дата опубликования:
28.07.2021
