Официальное опубликование правовых актов
ОФИЦИАЛЬНОЕ ОПУБЛИКОВАНИЕ
Приказ Управления по охране объектов культурного наследия Калужской области от 06.07.2021 № 116
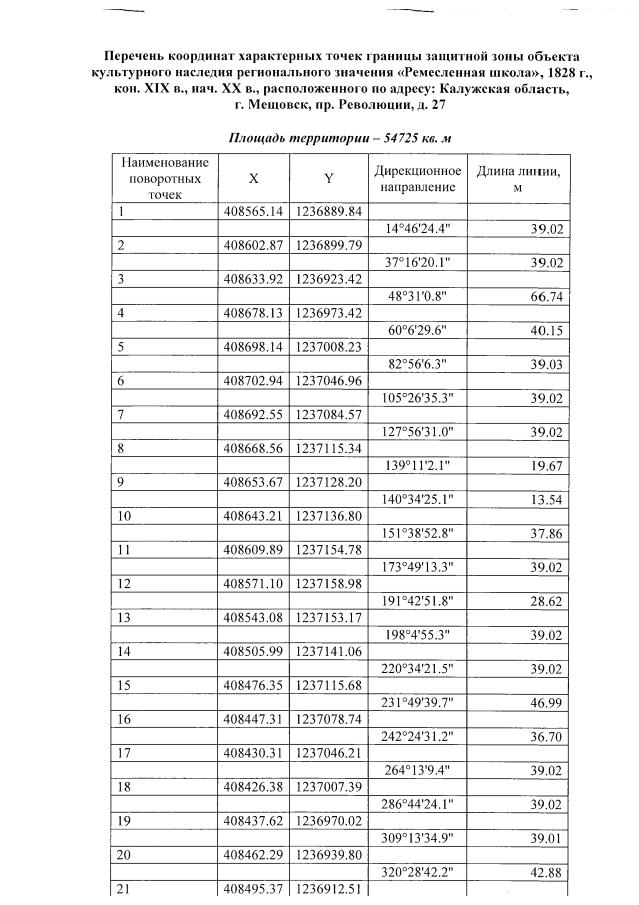
"Об утверждении графического описания местоположения границы и режима использования земель в границе защитной зоны объекта культурного наследия регионального значения "Ремесленная школа", 1828 г., кон. XIX в., нач. XX в., расположенного по адресу: Калужская область, г. Мещовск, пр. Революции, д. 27"
(Зарегистрирован 15.07.2021 № 10773)
Номер опубликования: 4001202107200009
Дата опубликования: 20.07.2021
Страница №3 из 5:
Увеличить