Официальное опубликование правовых актов
ОФИЦИАЛЬНОЕ ОПУБЛИКОВАНИЕ
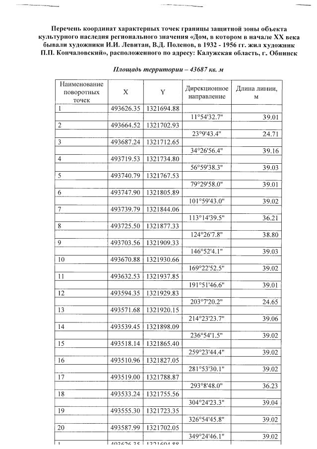
Приказ Управления по охране объектов культурного наследия Калужской области от 02.07.2021 № 104
(Зарегистрирован 15.07.2021 № 10764)
Номер опубликования: 4001202107200008
Дата опубликования: 20.07.2021
Страница №3 из 4:
Увеличить