Приказ Управления по охране объектов культурного наследия Калужской области от 02.07.2021 № 106
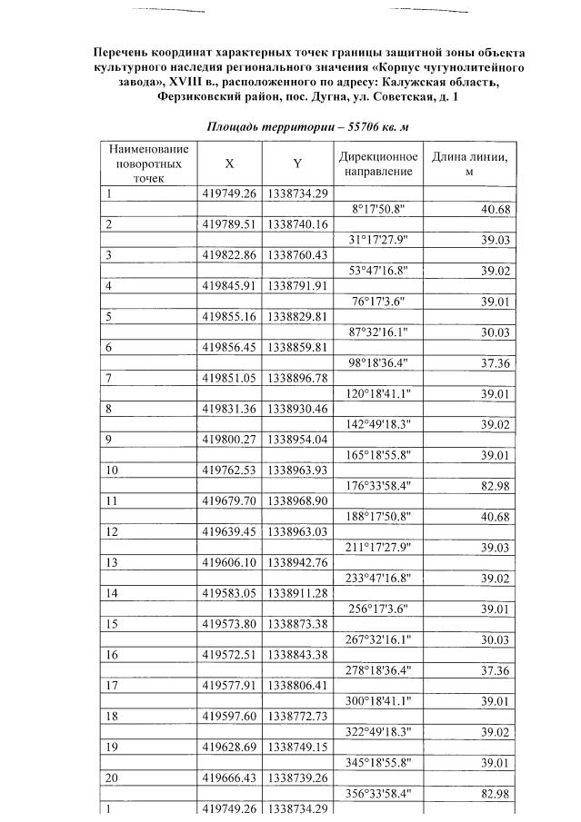
"Об утверждении графического описания местоположения границы и режима использования земель в границе защитной зоны объекта культурного наследия регионального значения "Корпус чугунолитейного завода", XVIII в., расположенного по адресу: Калужская область, Ферзиковский район, пос. Дугна, ул. Советская, д. 1"
(Зарегистрирован 15.07.2021 № 10766)
"Об утверждении графического описания местоположения границы и режима использования земель в границе защитной зоны объекта культурного наследия регионального значения "Корпус чугунолитейного завода", XVIII в., расположенного по адресу: Калужская область, Ферзиковский район, пос. Дугна, ул. Советская, д. 1"
(Зарегистрирован 15.07.2021 № 10766)
Номер опубликования: 4001202107200007
Дата опубликования:
20.07.2021
