Официальное опубликование правовых актов
ОФИЦИАЛЬНОЕ ОПУБЛИКОВАНИЕ
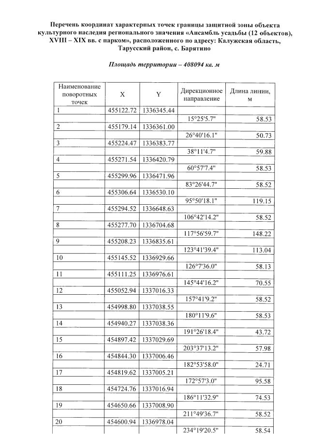
Приказ Управления по охране объектов культурного наследия Калужской области от 02.07.2021 № 107
"Об утверждении графического описания местоположения границы и режима использования земель в границе защитной зоны объекта культурного наследия регионального значения "Ансамбль усадьбы (12 объектов), XVIII – XIX вв. с парком", расположенного по адресу: Калужская область, Тарусский район, с. Барятино"
(Зарегистрирован 15.07.2021 № 10767)
Номер опубликования: 4001202107200003
Дата опубликования: 20.07.2021
Страница №3 из 5:
Увеличить