Официальное опубликование правовых актов
ОФИЦИАЛЬНОЕ ОПУБЛИКОВАНИЕ
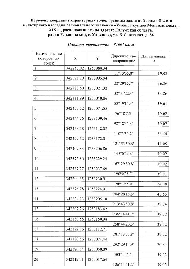
Приказ Управления по охране объектов культурного наследия Калужской области от 02.07.2021 № 109
"Об утверждении графического описания местоположения границы и режима использования земель в границе защитной зоны объекта культурного наследия регионального значения "Усадьба купцов Меньшиковых", XIX в., расположенного по адресу: Калужская область, район Ульяновский, с. Ульяново, ул. Б-Советская, д. 86"
(Зарегистрирован 15.07.2021 № 10769)
Номер опубликования: 4001202107200001
Дата опубликования: 20.07.2021
Страница №3 из 5:
Увеличить