Официальное опубликование правовых актов
ОФИЦИАЛЬНОЕ ОПУБЛИКОВАНИЕ
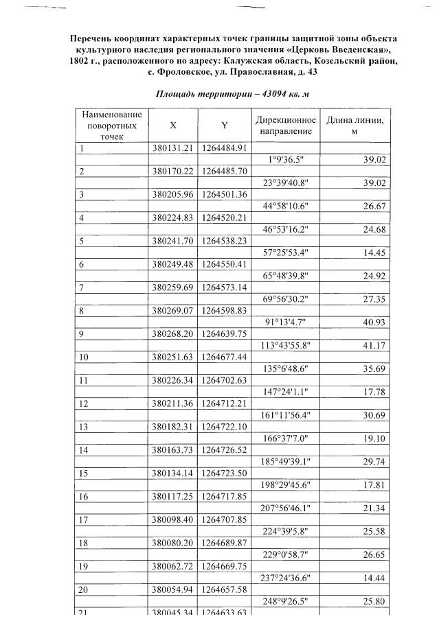
Приказ Управления по охране объектов культурного наследия Калужской области от 30.06.2021 № 99
"Об утверждении графического описания местоположения границы и режима использования земель в границе защитной зоны объекта культурного наследия регионального значения "Церковь Введенская", 1802 г., расположенного по адресу: Калужская область, Козельский район, с. Фроловское, ул. Православная, д. 43"
(Зарегистрирован 13.07.2021 № 10753)
Номер опубликования: 4001202107160003
Дата опубликования: 16.07.2021
Страница №3 из 5:
Увеличить