Официальное опубликование правовых актов
ОФИЦИАЛЬНОЕ ОПУБЛИКОВАНИЕ
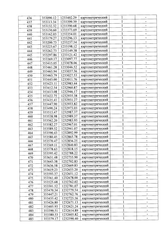
Приказ Министерства природных ресурсов и экологии Калужской области от 18.06.2021 № 600-21
"О реорганизации особо охраняемой природной территории регионального значения – памятника природы "Дубравы в пойме р. Жиздры"
(Зарегистрирован 05.07.2021 № 10740)
Номер опубликования: 4001202107130003
Дата опубликования: 13.07.2021
Страница №12 из 29:
Увеличить