Официальное опубликование правовых актов
ОФИЦИАЛЬНОЕ ОПУБЛИКОВАНИЕ
Приказ Управления по охране объектов культурного наследия Калужской области от 15.06.2021 № 84
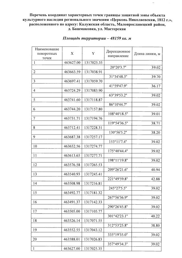
"Об утверждении графического описания местоположения границы и режима использования земель в границе защитной зоны объекта культурного наследия регионального значения "Церковь Николаевская, 1812 г.", расположенного по адресу: Калужская область, Малоярославецкий район, д. Башмаковка, ул. Мастерская"
(Зарегистрирован 30.06.2021 № 10721)
Номер опубликования: 4001202107050013
Дата опубликования: 05.07.2021
Страница №3 из 4:
Увеличить