Официальное опубликование правовых актов
ОФИЦИАЛЬНОЕ ОПУБЛИКОВАНИЕ
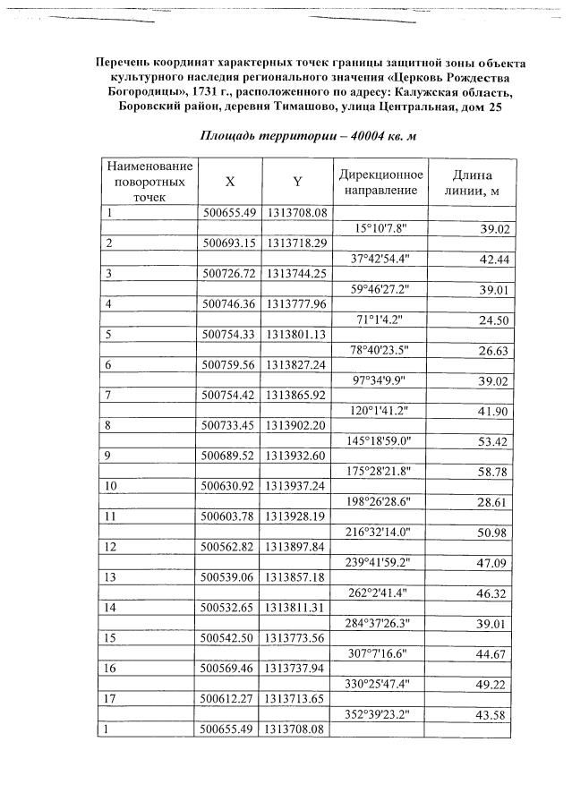
Приказ Управления по охране объектов культурного наследия Калужской области от 15.06.2021 № 80
"Об утверждении графического описания местоположения границы и режима использования земель в границе защитной зоны объекта культурного наследия регионального значения "Церковь Рождества Богородицы", 1731 г., расположенного по адресу: Калужская область, Боровский район, деревня Тимашово, улица Центральная, дом 25"
(Зарегистрирован 24.06.2021 № 10711)
Номер опубликования: 4001202106300003
Дата опубликования: 30.06.2021
Страница №3 из 4:
Увеличить