Приказ Управления по охране объектов культурного наследия Калужской области от 15.06.2021 № 81
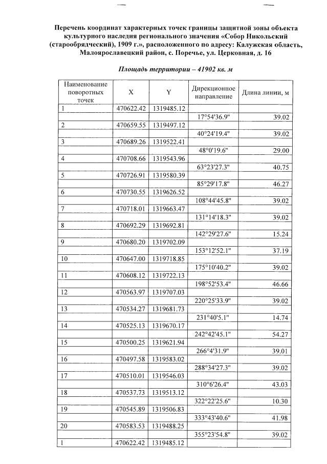
"Об утверждении графического описания местоположения границы и режима использования земель в границе защитной зоны объекта культурного наследия регионального значения "Собор Никольский (старообрядческий), 1909 г.", расположенного по адресу: Калужская область, Малоярославецкий район, с. Поречье, ул. Церковная, д. 16"
(Зарегистрирован 24.06.2021 № 10710)
"Об утверждении графического описания местоположения границы и режима использования земель в границе защитной зоны объекта культурного наследия регионального значения "Собор Никольский (старообрядческий), 1909 г.", расположенного по адресу: Калужская область, Малоярославецкий район, с. Поречье, ул. Церковная, д. 16"
(Зарегистрирован 24.06.2021 № 10710)
Номер опубликования: 4001202106300001
Дата опубликования:
30.06.2021
