Официальное опубликование правовых актов
ОФИЦИАЛЬНОЕ ОПУБЛИКОВАНИЕ
Приказ Управления по охране объектов культурного наследия Калужской области от 02.06.2021 № 67
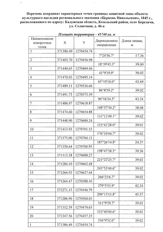
"Об утверждении графического описания местоположения границы и режима использования земель в границе защитной зоны объекта культурного наследия регионального значения "Церковь Никольская", 1845 г., расположенного по адресу: Калужская область, Козельский район, село Березичи, ул. Солнечная, д. 46-а"
(Зарегистрирован 21.06.2021 № 10700)
Номер опубликования: 4001202106290005
Дата опубликования: 29.06.2021
Страница №3 из 4:
Увеличить