Официальное опубликование правовых актов
ОФИЦИАЛЬНОЕ ОПУБЛИКОВАНИЕ
Постановление Губернатора Калужской области от 06.02.2026 № 62
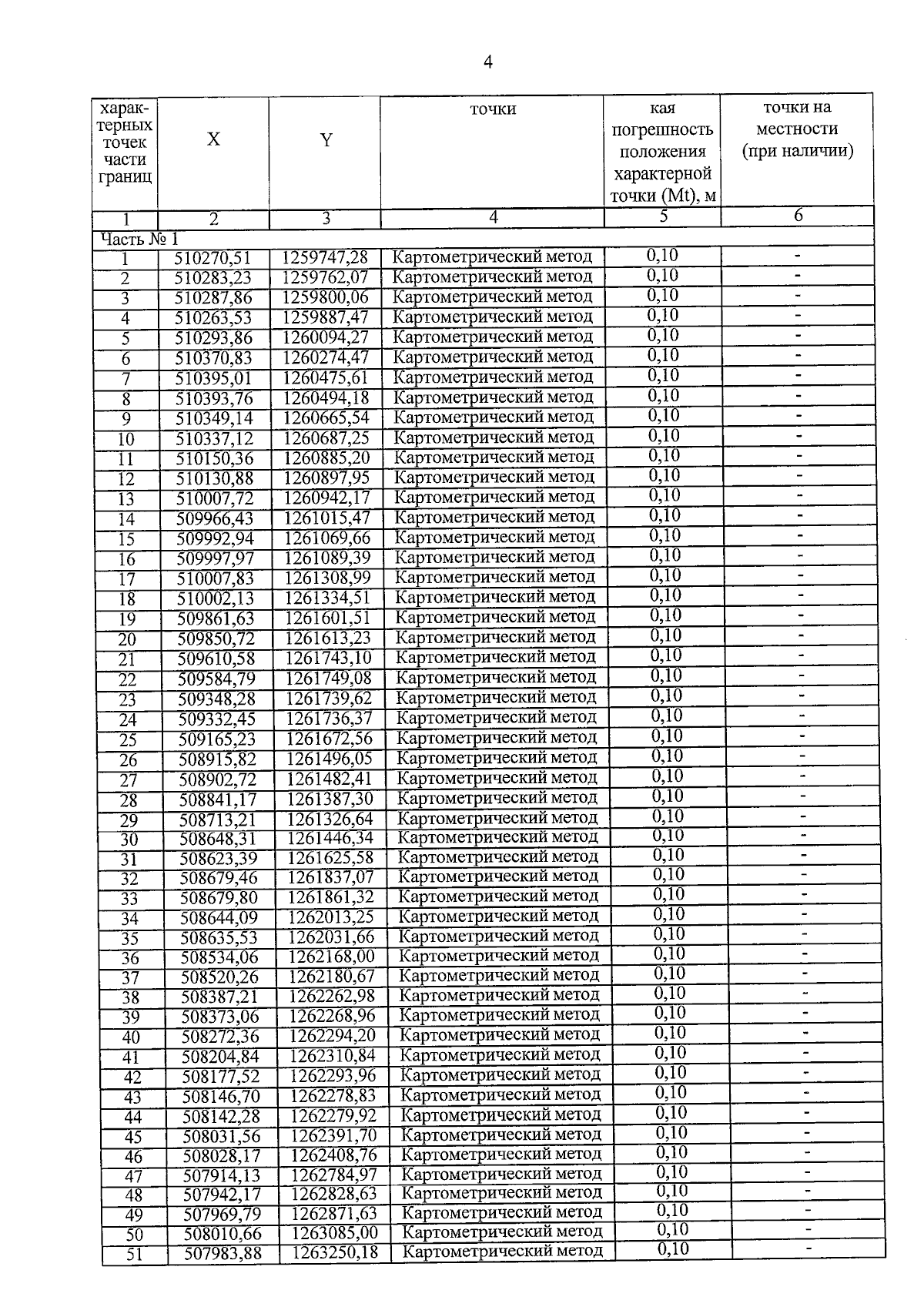
"Об установлении охранной зоны особо охраняемой природной территории регионального значения – памятника природы "Р. Лужа с охранным ландшафтом по 400 м в обе стороны от уреза воды"
Номер опубликования: 4000202602090007
Дата опубликования: 09.02.2026
Страница №4 из 31:
Увеличить